[TOC]    2.1  Mass Transport [Prev. Page]   [Next Page]

Mass transport is the process responsible for the movement of solutes and suspended biomass in the saturated aquifer. It consists of two major processes: advection and dispersion. Advective transport is a function of the average linear velocity (or pore water velocity):

(2.2)
Where: V = pore water velocity (L/T)
q = darcy velocity (L/T)
n = effective porosity

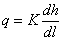
The pore water velocity is the specific discharge divided by porosity. In turn, the specific discharge is a function of hydraulic gradient and hydraulic conductivity:

(2.3)
Where: q = specific discharge (L3/L2·T)
K = hydraulic conductivity (L/T)
dh = change in hydraulic head (L)
dl = change in length (L)

Hydraulic conductivity values range from 1.0 to 10-13 m/s for gravel to unfractured metamorphic rocks respectively (Freeze and Cherry, 1979).

Dispersive transport is a mixing process that is a function of spatial concentration gradients. The dispersion coefficient in Equation (2.1) is a function of two processes: molecular diffusion and mixing due to pore water velocity variations. The equations calculating the longitudinal and transverse dispersion coefficients are:

(2.4)
(2.5)
Where: Dl = dispersion coefficient in principal direction of flow
(longitudinal dispersion coefficient) (L2/T)
Dt = dispersion coefficient perpendicular to direction of flow
(transverse dispersion coefficient) (L2/T)
a l = longitudinal dispersitivity coefficient (L)
a l = transverse dispersitivity coefficient (L)
D* = effective diffusion coefficient (L2/T)
V = pore water velocity (in principle direction) (L/T)

The effective diffusion coefficient, D*, is the molecular diffusion coefficient in water adjusted for porous media effects. The dispersitivity coefficients are a measure of mixing effects caused by heterogeneity in the hydraulic flow field and are typically a function of scale (Fetter, 1993).


[Home]   [Table of Contents] [Prev. Page]   [Next Page]

A Two Dimensional Numerical Model for Simulating the Movement and Biodegradation of Contaminants in a Saturated Aquifer
© Copyright 1996, Jason E. Fabritz. All Rights Reserved.