[TOC]    3.4  Estimating Groundwater Velocities [Prev. Page]   [Next Page]

The model estimates groundwater velocities using a finite difference method. The fundamental equation for flow in a saturated porous media is Darcy’s Law (equation (2.3)). The model uses this equation to calculate groundwater velocities given the hydraulic head at each node. The finite difference solution to the hydraulic head at a given node is:

(3.6)
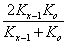
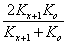
Where: =
  =
  =
  =
  ho = hydraulic head at center node
  hx-1 = hydraulic head at node x-1
  hx+1 = hydraulic head at node x+1
  hy-1 = hydraulic head at node y-1
  hy+1 = hydraulic head at node y+1
  D X = distance between nodes in x direction
  D Y = distance between nodes in y direction
  D Xw = node width in x direction
  D Yw = node width in y direction
  Q = external fluid flow into the node

To compute the hydraulic head surface, equation (3.6) is written for each node in the aquifer. The model solves the set of equations by inverting the resulting banded matrix.


[Home]   [Table of Contents] [Prev. Page]   [Next Page]

A Two Dimensional Numerical Model for Simulating the Movement and Biodegradation of Contaminants in a Saturated Aquifer
© Copyright 1996, Jason E. Fabritz. All Rights Reserved.